3-Tiofenoetanol CAS 13781-67-4 Pureza >99,0% (GC) Produto principal da fábrica
Fornecimento do fabricante, alta pureza, produção comercial
Nome Químico: 3-Tiofenoetanol CAS: 13781-67-4
| Nome Químico | 3 - Tiofenoetanol |
| Sinônimos | Tiofeno-3-Etanol; 3-(2-Hidroxietil)tiofeno; 2-(3-Tienil)etanol; 2-(Tiofeno-3-il)etanol |
| Número CAS | 13781-67-4 |
| Número CAT | RF-PI1001 |
| Status do estoque | Em estoque, produção em até toneladas |
| Fórmula Molecular | C6H8OS |
| Peso molecular | 128,19 |
| Ponto de ebulição | 110,0 ~ 111,0 ℃/14 mm Hg (aceso.) |
| Densidade | 1,144 g/mL a 25°C (lit.) |
| Índice de refração | n20/D 1.552 (lit.) |
| Marca | Ruifu Química |
| Artigo | Especificações |
| Aparência | Líquido transparente incolor ou amarelo claro |
| Pureza/Método de Análise | >99,0% (GC) |
| 2 - Tiofeno Etanol | <1,0% |
| O tempo de retenção 8.335min | |
| Conteúdo de água (KF) | ≤0,50% |
| Impurezas Totais | <1,0% |
| Padrão de teste | Padrão Empresarial |
| Uso | Intermediários Farmacêuticos |
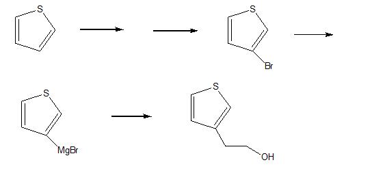
3-Tiofenoetanol (CAS: 13781-67-4) Rota Sintética
Pacote: Garrafa, 25kg/Barril, ou conforme necessidade do cliente.
Condição de armazenamento:Armazenar em recipientes fechados em local fresco e seco; Proteja da luz e da umidade.


3 - Tiofenoetanol (CAS: 13781 - 67 - 4) é usado como reagente na síntese de nanopartículas de polímero conjugado emissores de infravermelho próximo e responsivas a pH para imagens celulares e administração controlada de medicamentos. 3-O tiofenetanol também é usado como reagente na preparação de potentes inibidores da RNA polimerase do vírus sincicial respiratório.





