Dextrano 40 CAS 9004-54-0 CP2015 EP8.0 Especificação
Shanghai Ruifu Chemical Co., Ltd. é o fabricante líder de Dextran 40 (CAS: 9004-54-0) com alta qualidade. A Ruifu Chemical fornece Dextran há mais de 15 anos. A Ruifu Chemical pode fornecer entrega em todo o mundo, preço competitivo e serviço excelente. Compre Dextrano, Entre em contato: alvin@ruifuchem.com
| Nome Químico | Dextrana 40 |
| Sinônimos | Dextrano 40000; Dextrano D-40; Dextrano de molécula média |
| Status do estoque | Em estoque, produção comercial |
| Número CAS | 9004-54-0 |
| Fórmula Molecular | [C6H10O5]n |
| Peso molecular | Mw. = ca. 40.000 |
| Ponto de fusão | 483℃(Decomp.) |
| pH a 1% de solução | 4,5~7,0 |
| Armazenar sob gás inerte | Armazenar sob gás inerte |
| Sensível | Higroscópico |
| Solubilidade em água quente | Quase Transparência |
| Solubilidade | Fácil solúvel em água quente, insolúvel em etanol |
| Estabilidade | Estável. Mantenha-se seco. Incompatível com Agentes Oxidantes Fortes. |
| Temperatura de armazenamento. | Local fresco e seco (2~8℃) |
| COA e MSDS | Disponível |
| Origem do Produto | Xangai, China |
| Categorias de produtos | Carboidratos Açúcares Polissacarídeos |
| Marca | Ruifu Química |
| Itens | Especificações | Resultados |
| Aparência | Pó Branco; Inodoro, insípido | Cumpre |
| Solubilidade | Facilmente solúvel em água quente, insolúvel em etanol | Cumpre |
| Identificação | De acordo com CP2015 | Reação Positiva |
| Rotação óptica específica | +190,0° ~ +200,0° | +195,0° |
| Metais Pesados (Chumbo) | ≤8ppm | <8 ppm |
| Perda na secagem | ≤5,00% | 2,75% |
| Resíduo na ignição | ≤0,50% | 0,22% |
| Cloreto | ≤0,25% | <0,15% |
| Nitrogênio | ≤0,007% | <0,005% |
| Distribuição de Peso Molecular | Mw: 32.000 ~ 42.000 | 38254 |
| M10 | ≤120.000 | 105582 |
| M90 | ≥5000 | 7286 |
| Conclusão | O teste está em conformidade com os requisitos da norma CP2015. | |
| Itens | Especificações |
| Aparência | Pó branco ou quase branco |
| Distribuição Molecular-Massa (Mw) | 35.000 ~ 45.000 |
| M10 | ≤110000 |
| M90 | ≥7000 |
| Solubilidade | Muito solúvel em água, muito ligeiramente solúvel em etanol (96 por cento) |
| Aparência da solução | Solução transparente e incolor |
| Identificação | |
| Rotação óptica específica | +195,0° ~ +201,0° (Substância Seca) |
| Espectrofotometria de Absorção Infravermelha | Comparando com o espectro obtido do Dextran CRS |
| Acidez / Alcalinidade | Reação com Fenolftaleína, NaOH e HCl |
| Nitrogênio | ≤110 ppm |
| Solventes Residuais | |
| Etanol | ≤0,50% |
| Metanol | ≤0,05% |
| Outros solventes | ≤0,50% |
| Metais Pesados | ≤10ppm |
| Perda na secagem | ≤7,00% (105±2℃ por 5 horas) |
| Cinza Sulfatada | ≤0,30% |
| Endotoxinas Bacterianas | ≤10 UI/g |
| Contaminação Microbiana | |
| TAMC | ≤100 UFC/g |
| Sem colibacilos | Não detectado |
| Conclusão | O teste está em conformidade com os requisitos do padrão EP 8.0. |
Dextrano 40 para injeção
Dextranum 40 ad iniectabile
Definição
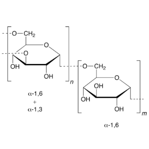
Mistura de polissacarídeos, principalmente do tipo α-1,6-glucano.
Massa molecular relativa média: cerca de 40.000.
Produção
É obtido por hidrólise e fracionamento de dextranos produzidos por fermentação de sacarose usando Leuconostoc mesenteroides cepa NRRL B-512 = CIP 78.59 ou sub-cepas desta (por exemplo L. mesenteroides B-512F = NCTC 10817).
É preparado em condições concebidas para minimizar o risco de contaminação microbiana.
Personagens
Aparência: pó branco ou quase branco.
Solubilidade: muito solúvel em água, muito pouco solúvel em etanol (96 por cento).
Identificação
A. Rotação óptica específica (2.2.7): +195 a +201 (substância seca).
Dissolver 1,0g em água R, aquecendo em banho-maria, e diluir até 50,0ml com o mesmo solvente.
B. Espectrofotometria de absorção no infravermelho (2.2.24).
Comparação: Dextrano CRS.
C. Distribuição molecular-de massa (ver Testes).
Tsé-tsé
Solução S. Dissolver 5,0g em água destilada R, aquecendo em banho-maria, e diluir até 50ml com o mesmo solvente.
Aparência da solução. A solução S é límpida (2.2.1) e incolor (2.2.2, Método II).
Acidez ou alcalinidade. A 10ml de solução S adicionar 0,1ml de solução de fenolftaleína R. A solução permanece incolor. Adicione 0,2ml de hidróxido de sódio 0,01M. A solução é vermelha. Adicione 0,4ml de ácido clorídrico 0,01M. A solução é incolor. Adicione 0,1ml de solução de vermelho de metila R. A solução é vermelha ou laranja.
Substâncias contendo nitrogênio: máximo 110ppm N.
Efetuar a determinação do azoto por digestão com ácido sulfúrico (2.5.9), utilizando 0,200g e aquecendo durante 2h. Coletar o destilado em uma mistura de 0,5ml de solução de verde de bromocresol R, 0,5ml de solução de vermelho de metila R e 20ml de água R. Titular com ácido clorídrico 0,01M. Não são necessários mais de 0,15 ml de ácido clorídrico 0,01 M para alterar a cor do indicador.
Solventes residuais. Cromatografia gasosa (2.2.28).
Padrão interno: propanpl R.
Solução de teste. Dissolver 5g da substância a ser examinada em 100ml de água R e destilar. Recolher os primeiros 45ml do destilado, adicionar 1ml de uma solução de propanol 25g/L R e diluir até 50ml com água R.
Solução de referência. Misturar 0,5mL de solução 25g/L de etanol anidro R, 0,5ml de solução 25g/L de propanol R e 0,5ml de solução 2,5g/L de metanol R e diluir até 25,0ml com água R.
Coluna:
- material: aço inoxidável;
- tamanho: l=1,8m, ø=2mm;
- fase estacionária: copolímero de etilvinilbenzeno-divinilbenzeno R (125-150μm).
Gás de arraste: nitrogênio para cromatografia R.
Taxa de fluxo: 25mL/min.
Temperatura:
- coluna: 190℃;
- porta de injeção: 240 ℃
- detector: 210 ℃
Detecção: ionização por chama.
Injeção: o volume escolhido de cada solução.
Limites:
- etanol: não mais que a área do pico correspondente no cromatograma obtido com a solução de referência (0,5 por cento);
- metanol: não mais que a área do pico correspondente no cromatograma obtido com a solução de referência (0,05 por cento);
- soma de solventes exceto etanol, metanol e propanol: não mais que a área do pico devido ao padrão interno (0,5 por cento, calculado como propanol).
Distribuição molecular-de massa (2.2.39). A massa molecular média (M10) é de 35.000 a 45.000. A massa molecular média dos 10 por cento
a fração alta não é superior a 110.000. A massa molecular média da fração baixa de 10 por cento não é inferior a 7.000.
Metais pesados (2.4.8): máximo 10ppm.
12mL de solução S estão em conformidade com o teste A. Prepare a solução de referência usando solução padrão de chumbo (1 ppm Pb)R.
Perda por secagem (2.2.32): máximo 7,0 por cento, determinado em 0,200g por aquecimento em estufa a 105±2°C por 5 horas.
Cinza sulfatada (2.4.14): máximo 0,3 por cento, determinado em 0,50g.
Endotoxinas bacterianas(2.6.14): menos de 10 UI/g.
Contaminação microbiana
TAMC: critério de aceitação 100 UFC/g (2.6.12).
Pacote: Garrafa, saco de folha de alumínio, tambor de 20kg/25kg/papelão, ou de acordo com a necessidade do cliente.
Armazenamento: Mantenha o recipiente bem fechado e armazene em local fresco, seco (2 ~ 8 ℃) e bem ventilado. Mantenha longe da luz solar; evite fontes de fogo e calor; evite a umidade. Incompatível com agentes oxidantes fortes.
Envio:Entregue para todo o mundo por via aérea, pela FedEx / DHL Express. Fornece entrega rápida e confiável.
Como comprar? Entre em contatoAlvin Huang: sales@ruifuchem.com ou alvin@ruifuchem.com
15 anos de experiência?Temos mais de 15 anos de experiência na fabricação e exportação de uma ampla variedade de intermediários farmacêuticos ou produtos químicos finos de alta qualidade.
Principais mercados? Vender para o mercado interno, América do Norte, Europa, Índia, Coréia, Japão, Austrália, etc.
Vantagens? Qualidade superior, preço acessível, serviços profissionais e suporte técnico, entrega rápida.
Qualidade Garantia? Sistema de controle de qualidade rigoroso. Equipamentos profissionais para análise incluem NMR, LC - MS, GC, HPLC, ICP - MS, UV, IR, OR, K.F, ROI, LOD, MP, Claridade, Solubilidade, teste de limite microbiano, etc.
Amostras? A maioria dos produtos fornece amostras grátis para avaliação de qualidade. O custo de envio deve ser pago pelos clientes.
Auditoria de Fábrica? Auditoria de fábrica bem-vinda. Por favor, marque uma consulta com antecedência.
Quantidade mínima? Sem quantidade mínima. Pedidos pequenos são aceitáveis.
Prazo de entrega? Se estiver em estoque, entrega garantida em três dias.
Transporte? Por expresso (FedEx, DHL), por via aérea, por via marítima.
Documentos? Serviço pós-venda: COA, MOA, ROS, MSDS, etc.
Síntese Personalizada? Pode fornecer serviços de síntese personalizados para melhor atender às suas necessidades de pesquisa.
Condições de pagamento? A fatura pró-forma será enviada primeiro após a confirmação do pedido, juntamente com nossos dados bancários. Pagamento por T/T (Transferência Telex), PayPal, Western Union, etc.
Códigos de Risco R20/21/22 - Nocivo por inalação, em contacto com a pele e por ingestão.
R36/37/38 - Irritante para os olhos, vias respiratórias e pele.
Descrição de segurança S24/25 - Evite o contato com a pele e os olhos.
S37/39 - Use luvas adequadas e proteção para os olhos/face
S36 - Use roupas de proteção adequadas.
S26 - Em caso de contato com os olhos, lavar imediatamente com água em abundância e consultar um médico.
WGK Alemanha 2
RTECS HH9230000
CÓDIGOS F DA MARCA FLUKA 3
TSCA Sim
Código HS 3913900090
Dextran 40 (CAS: 9004-54-0) é um polissacarídeo complexo amplamente utilizado em pesquisas científicas e aplicações industriais. É um polímero altamente ramificado composto por moléculas de glicose e produzido por várias cepas bacterianas. O dextrano foi estudado extensivamente pelas suas propriedades e aplicações potenciais.
O dextrano é usado principalmente para a produção de injeção de Dextrano 40, injeção de composto de dextrano e outros derivados de dextrano. Também pode ser utilizado como enchimento e excipiente na preparação de pó liofilizado.
O dextrano de baixo peso molecular é útil como estabilizador, extensor de volume, lubrificante, plataforma de ligação e componente de matriz. Os dextranos de peso molecular mais elevado têm diferentes viscosidades, propriedades de agregação e permeação.
A Ruifu Chemical fornece Dextran há mais de 15 anos.
O dextrano é um polímero solúvel em água composto por polissacarídeos lineares e ramificados ligados por ligações α-1,6-glicosídicas. O polímero consiste em moléculas de glicose que estão ligadas entre si por ligações α-1,3, α-1,4 e α-1,6-glicosídicas. O dextrano é produzido por várias cepas bacterianas, incluindo Leuconostoc mesenteroides, Streptococcus thermophilus, Lactobacillus brevis e outras. O dextrano foi identificado pela primeira vez no século 19 por Louis Pasteur, que observou uma substância viscosa produzida por bactérias.
O dextrano tem alto peso molecular e é um polímero altamente ramificado. Seu peso molecular pode variar de alguns milhares a vários milhões de Daltons. É um polímero solúvel em água e apresenta boa solubilidade em vários solventes, incluindo água, metanol, etanol e dimetilsulfóxido. O dextrano tem carga neutra e é frequentemente usado como fonte de carbono e energia para bactérias. Suas propriedades físicas e químicas variam dependendo do grau de ramificação, peso molecular e método de produção.
O dextrano é produzido por várias cepas bacterianas através da fermentação de fontes de açúcar, como sacarose, glicose ou maltose. A síntese do dextrano envolve a polimerização extracelular de moléculas de glicose através da ação das enzimas dextranssucrase. O polímero resultante é então exportado para fora da célula bacteriana, onde forma uma substância viscosa semelhante a um gel. O dextrano pode ser caracterizado por várias técnicas analíticas, incluindo cromatografia de permeação em gel, espectroscopia de RMN e espectrometria de massa.
O dextrano é um polissacarídeo composto por moléculas de glicose ligadas entre si em uma estrutura de cadeia ramificada. É produzido por certas bactérias e é um dos polissacarídeos mais abundantes na natureza. Dextran tem uma ampla gama de aplicações científicas. É usado como ferramenta de pesquisa nas áreas de bioquímica, biomedicina e ciência de alimentos. Tem sido usado como estabilizante, aglutinante e emulsificante em diversos produtos alimentícios. Também é usado como sistema de administração de medicamentos, como agente protetor em aplicações médicas e como ferramenta de pesquisa em muitas áreas da ciência. Tem sido usado para estudar a estrutura e função de proteínas, carboidratos e lipídios. Também tem sido utilizado para estudar os mecanismos de ação enzimática e para investigar os efeitos de vários medicamentos nos sistemas biológicos.
O dextrano tem várias aplicações em experimentos científicos, incluindo cultura celular, purificação de proteínas e administração de medicamentos. É frequentemente usado como estabilizador de proteínas e enzimas e como crioprotetor para evitar danos por congelamento. O dextrano também pode ser usado como marcador de peso molecular em eletroforese em gel e como material de enchimento em colunas de cromatografia.
Dextrano 40 (CAS: 9004-54-0) é um polissacarídeo composto por moléculas de glicose ligadas entre si em uma estrutura de cadeia ramificada. A estrutura ramificada do dextrano confere-lhe uma grande área superficial, o que lhe permite interagir com outras moléculas do ambiente. Essa interação é a base do seu mecanismo de ação. Ele se liga a moléculas como proteínas, carboidratos e lipídios e pode atuar como agente protetor ou como sistema de administração de medicamentos.
O Dextran 40 (CAS: 9004-54-0) tem uma série de efeitos bioquímicos e fisiológicos. Pode atuar como um agente protetor, ligando-se a moléculas como proteínas, carboidratos e lipídios, evitando que sejam decompostos ou desnaturados. Também pode atuar como um sistema de administração de medicamentos, permitindo que os medicamentos sejam liberados no corpo de maneira controlada. Também foi demonstrado que tem efeitos anti-inflamatórios e antimicrobianos, além de estimular o sistema imunológico.




