DMDO-Cl CAS 80841-78-7 Pureza >96,0% (GC) Fábrica intermediária de olmesartana medoxomila
Ruifu Chemical Supply Intermediários de olmesartan medoxomil com alta qualidade:
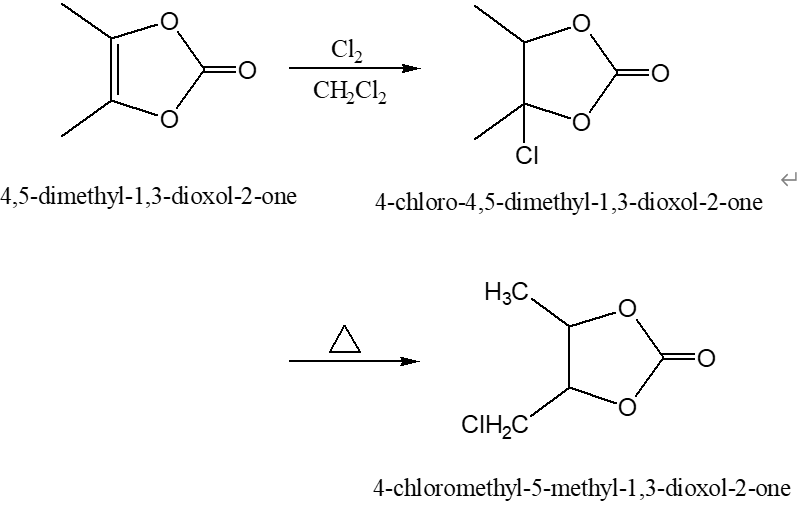
4,5-Dimetil-1,3-Dioxol-2-Um (DMDO) CAS 37830-90-3
4-Clorometil-5-Metil-1,3-Dioxol-2-Um (DMDO-Cl) CAS 80841-78-7
Etil 4-(1-Hidroxi-1-Metiletil)-2-Propil-Imidazol-5-Carboxilato CAS 144689-93-0
Dietil 2 - Propil - 1H - Imidazol - 4,5 - Dicarboxilato CAS 144689 - 94 - 1
Éster etílico de tritil olmesartana CAS 144690-33-5
Ácido tritil olmesartan CAS 761404-85-7
N2-Ácido tritilolmesartan CAS 752179-89-8
Tritil Olmesartana Medoxomila CAS 144690-92-6
Olmesartana Medoxomila CAS 144689-63-4
| Nome Químico | 4-Clorometil-5-metil-1,3-dioxol-2-ona |
| Sinônimos | DMDO-Cl |
| Número CAS | 80841-78-7 |
| Número CAT | RF-PI1871 |
| Status do estoque | Em estoque, capacidade de produção de 300 toneladas/ano |
| Fórmula Molecular | C5H5ClO3 |
| Peso molecular | 148,54 |
| Ponto de ebulição | 93℃/2mmHg |
| Marca | Ruifu Química |
| Artigo | Especificações |
| Aparência | Líquido incolor a amarelo |
| Identificação (GC) | O tempo de retenção do pico principal no cromatograma da amostra corresponde ao do padrão obtido em pureza e substâncias relacionadas |
| Pureza/Método de Análise | >96,0% (GC) |
| Água (por Karl Fischer) | <0,50% |
| Impureza A | <1,50% |
| Impureza B | <0,50% |
| Impureza C | <3,00% |
| Impureza D | <4,00% |
| Impureza E | <0,10% |
| Índice de refração N20/D | 1,476~1,482 |
| Gravidade Específica (20/20℃) | 1,357~1,363 |
| Espectro de RMN de prótons | Está em conformidade com a estrutura |
| Padrão de teste | Padrão Empresarial |
| Uso | Intermediário de Olmesartana Medoxomila (CAS: 144689-63-4) |
Rota de Síntese de 4-Clorometil-5-metil-1,3-dioxol-2-ona
Pacote: Garrafa fluorada, 25kg/Tambor, ou conforme necessidade do cliente
Condição de armazenamento:Armazenar em recipientes fechados em local fresco e seco; Proteja da luz e da umidade


4-Clorometil-5-metil-1,3-dioxol-2-ona, (DMDO-Cl) (CAS: 80841-78-7) é um intermediário do Olmesartana Medoxomila (CAS: 144689-63-4. Olmesartan Medoxomil é um novo antagonista não peptídico seletivo e competitivo do receptor da angiotensina II usado para tratar hipertensão. O olmesartan atua bloqueando a ligação da angiotensina II aos receptores AT1 no músculo vascular. Ao bloquear a ligação e não a síntese da angiotensina II, o olmesartan inibe o feedback regulador negativo sobre a secreção de renina. O olmesartan medoxomil foi lançado nos EUA como Benicar@, um tratamento administrado por via oral para hipertensão.





