Preço de fábrica (4S)-3-[(5S)-5-(4-Fluorofenil)-5-hidroxipentanoil]-4-fenil-1 3-oxazolidin-2-ona - 4-(4-Aminofenil)morfolina-3-Um CAS 438056-69-0 Intermediário Rivaroxabana - Ruifu
Preço de fábrica (4S)-3-[(5S)-5-(4-Fluorofenil)-5-hidroxipentanoil]-4-fenil-1 3-oxazolidin-2-ona - 4-(4-Aminofenil)morfolina-3-Um CAS 438056-69-0 Intermediário de rivaroxabana – RuifuDetalhe:
Fabricante com alta pureza e preço competitivo
Fornecimento comercial Rivaroxabana (CAS: 366789-02-8) Intermediários relacionados:
(S)-(+)-Glicidil Ftalimida CAS: 161596-47-0
4-(4-Aminofenil)morfolina-3-uma CAS: 438056-69-0
2-[(2R)-2-Hidroxi-3-[[4-(3-oxo-4-morfolinil)fenil]amino]propil]-1H-isoindol-1,3(2H)-diona 446292-07-5
5-Clorotiofeno-2-ácido carboxílico CAS: 24065-33-6
Rivaroxabana CAS: 366789-02-8
| Nome Químico | 4-(4-Aminofenil)morfolina-3-ona |
| Número CAS | 438056-69-0 |
| Número CAT | RF-PI129 |
| Status do estoque | Em estoque, produção em até toneladas |
| Fórmula Molecular | C10H12N2O2 |
| Peso molecular | 192.21 |
| Marca | Ruifu Química |
| Artigo | Especificações |
| Aparência | Pó cristalino branco a amarelo claro ou marrom claro |
| Pureza/Método de Análise | ≥99,0% (HPLC) |
| Ponto de fusão | 165,0~175,0°C |
| Identificação | HRMN |
| Umidade (KF) | ≤1,0% |
| Perda na secagem | ≤0,50% |
| Resíduo na ignição | ≤0,10% |
| Impureza Única Máxima | ≤0,50% |
| Impurezas Totais | ≤1,5% |
| Padrão de teste | Padrão Empresarial |
| Uso | Rivaroxabana (CAS: 366789-02-8) Intermediário |
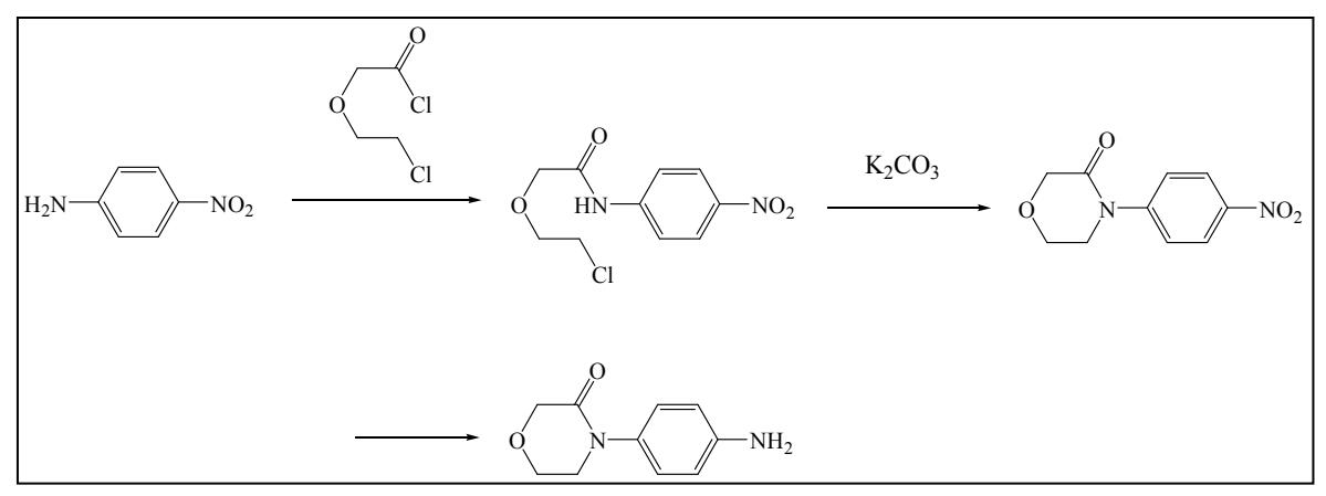
4-(4-Aminofenil)morfolina-3-um CAS: 438056-69-0 Rota de Síntese
Pacote: Garrafa, saco de papel alumínio, tambor de papelão, 25kg/tambor, ou conforme necessidade do cliente.
Condição de armazenamento:Armazenar em recipientes fechados em local fresco e seco; Proteja da luz, umidade e infestação de pragas.


é o principal fabricante e fornecedor de 4-(4-Aminofenil)morfolina-3-ona (CAS: 438056-69-0) com alta qualidade, é um intermediário normalmente na síntese de Rivaroxaban (CAS: 366789-02-8).
Rivaroxabana (Xarelto; CAS: 366789 - 02 - 8) é um novo inibidor direto do Fator Xa (FXa), oral e direto, em estágio final de desenvolvimento para a prevenção e tratamento de distúrbios tromboembólicos. A rivaroxabana também inibe a atividade da protrombinase com IC50 de 2,1 nM. A rivaroxabana também mostra uma afinidade semelhante ao FXa humano e de coelho purificado (IC50 0,7 nM e 0,8 nM, respectivamente), mas uma potência menor contra o FXa purificado de rato (IC50 3,4 nM). O FXa endógeno humano e de coelho no plasma é inibido em extensão semelhante pela rivaroxabana (IC50 21 nM e 21 nM, respectivamente), enquanto concentrações 14 vezes maiores são necessárias no plasma de rato (IC50 290 nM). A rivaroxabana exibe alta permeabilidade e transporte polarizado através das células Caco-2 como substrato da P-gp, mas não exibe efeito inibitório no transporte de fármaco mediado pela P-gp- até concentrações de 100 μM in vitro.
Imagens detalhadas do produto:
![Factory Price (4S)-3-[(5S)-5-(4-Fluorophenyl)-5-hydroxypentanoyl]-4-phenyl-1 3-oxazolidin-2-one - 4-(4-Aminophenyl)morpholin-3-One CAS 438056-69-0 Rivaroxaban Intermediate – Ruifu detail pictures](/upload/image/products/e2fc83561.jpg)
Guia de produto relacionado:
Insistimos em oferecer criação de alta qualidade com conceito empresarial superior, receitas honestas e o melhor e mais rápido serviço. isso lhe trará não apenas a solução de alta qualidade e o enorme lucro, mas essencialmente o mais significativo é geralmente ocupar o mercado interminável de preço de fábrica (4S) - 4-(4-Aminofenil)morfolina-3-One CAS 438056-69-0 Rivaroxabana Intermediário - Ruifu, O produto será fornecido para todo o mundo, como: Cingapura, Marselha, República Tcheca. Nossos produtos são amplamente reconhecidos e confiáveis pelos usuários e podem atender às necessidades econômicas e sociais em contínuo desenvolvimento. Damos as boas-vindas a clientes novos e antigos de todas as esferas da vida para nos contatar para futuras relações comerciais e alcançar sucesso mútuo!




