Fornecimento de fábrica Acetilacetona - 4,6-Dimetil-2-(Metilsulfonil)pirimidina CAS 35144-22-0 Ambrisentan Intermediário de Alta Qualidade - Ruifu
Fornecimento de fábrica Acetilacetona - 4,6-Dimetil-2-(Metilsulfonil)pirimidina CAS 35144-22-0 Ambrisentan Intermediário de Alta Qualidade - RuifuDetalhe:
Fabricante com alta qualidade
Fornecimento comercial Ambrisentan (CAS: 177036-94-1) Intermediários relacionados:
3,3-Difeniloxamericae-2-Éster metílico de ácido carboxílico CAS: 76527-25-8
2-hidroxi-3-metoxi-3,3-difenilpropanoato de metila CAS: 178306-47-3
2-Hidroxi-3-Metoxi-3,3-Ácido difenilpropanoico CAS: 178306-51-9
(S)-2-Hidroxi-3-metoxi-3,3-ácido difenilpropiônico CAS: 178306-52-0
L-Cloridrato de éster metílico de prolina CAS: 2133-40-6
4,6-Dimetil-2-(metilsulfonil)pirimidina CAS: 35144-22-0
| Nome Químico | 4,6-Dimetil-2-(metilsulfonil)pirimidina |
| Abreviatura | DLMSP |
| Número CAS | 35144-22-0 |
| Número CAT | RF-PI164 |
| Status do estoque | Em estoque, produção em até toneladas |
| Fórmula Molecular | C7H10N2O2S |
| Peso molecular | 186,23 |
| Solubilidade (Solúvel em) | Metanol |
| Marca | Ruifu Química |
| Artigo | Especificações |
| Aparência | Pó Cristalino Amarelo |
| Pureza / Método de Análise | ≥98,0% (HPLC) |
| Ponto de fusão | 80,0 ~ 84,0 ℃ |
| Umidade (KF) | ≤0,50% |
| Padrão de teste | Padrão Empresarial |
| Uso | Intermediário de Ambrisentana (CAS: 177036-94-1) |
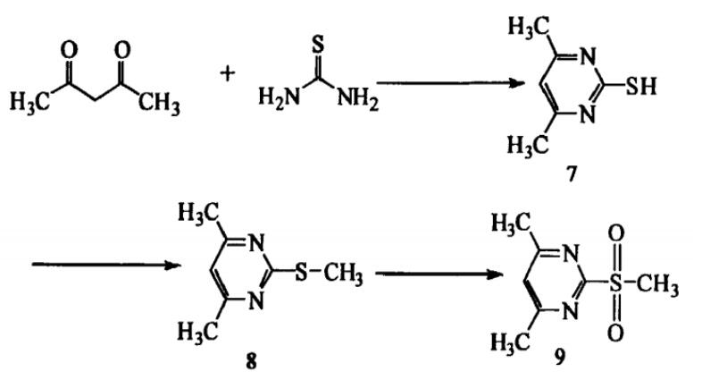
4,6-Dimetil-2-(metilsulfonil)pirimidina (CAS: 35144-22-0) Rota Sintética
Pacote: Garrafa, saco de papel alumínio, tambor de papelão, 25kg/tambor, ou conforme necessidade do cliente.
Condição de armazenamento:Armazenar em recipientes fechados em local fresco e seco; Proteja da luz, umidade e infestação de pragas.


4,6-Dimetil-2-(metilsulfonil)pirimidina CAS 35144-22-0 Intermediário de Ambrisentana (CAS: 177036-94-1).
Ambrisentana (CAS: 177036-94-1) é um antagonista seletivo do receptor da endotelina-A (ETA) introduzido para o tratamento oral de pacientes com hipertensão arterial pulmonar (HAP), para melhorar a capacidade de exercício e retardar a piora clínica. É o terceiro antagonista do receptor ET a ser comercializado para esta indicação, atrás do bosentano e do sitaxsentano. A HAP é uma doença rara das pequenas artérias pulmonares caracterizada por proliferação e remodelação vascular, resultando num aumento progressivo da resistência vascular pulmonar e da pressão arterial pulmonar e, em última análise, insuficiência ventricular direita e morte prematura. Os primeiros sintomas da HAP incluem início gradual de falta de ar, fadiga, palpitações, edema e desmaios. A endotelina-1 (ET-1), um potente vasoconstritor e mitógeno do músculo liso, é um contribuidor chave para a aceleração da doença, e seus efeitos são mediados pela ativação dos receptores ETA e ETB.
Ambrisentana (CAS: 177036-94-1), ácido (+)-(2S)-2-[(4,6-dimetilpirimidin-2-il)oxi]-3-metoxi-3,3-difenilpropanoico (Letairis), é um potente antagonista seletivo da endotelina ETA que é indicado no tratamento da hipertensão arterial pulmonar (HAP). A HAP é uma doença rara que, se não tratada, apresenta elevada taxa de mortalidade. Em junho de 2007, o FDA concedeu a aprovação do ambrisentano (CAS: 177036-94-1) para tratamento de HAP uma vez ao dia. Estudos demonstraram que melhora uma caminhada de 6 minutos em cerca de 30 a 60 m para pacientes que recebem placebo.
Imagens detalhadas do produto:
Guia de produto relacionado:
Como resultado de nossa especialidade e consciência de reparo, nossa empresa ganhou uma popularidade excelente entre compradores em todo o mundo para Fornecimento de Fábrica Acetilacetona - 4,6 - Bem-vindos todos os amigos e clientes para se juntarem a nós. Estamos prontos para compartilhar uma empresa ganha-ganha.




