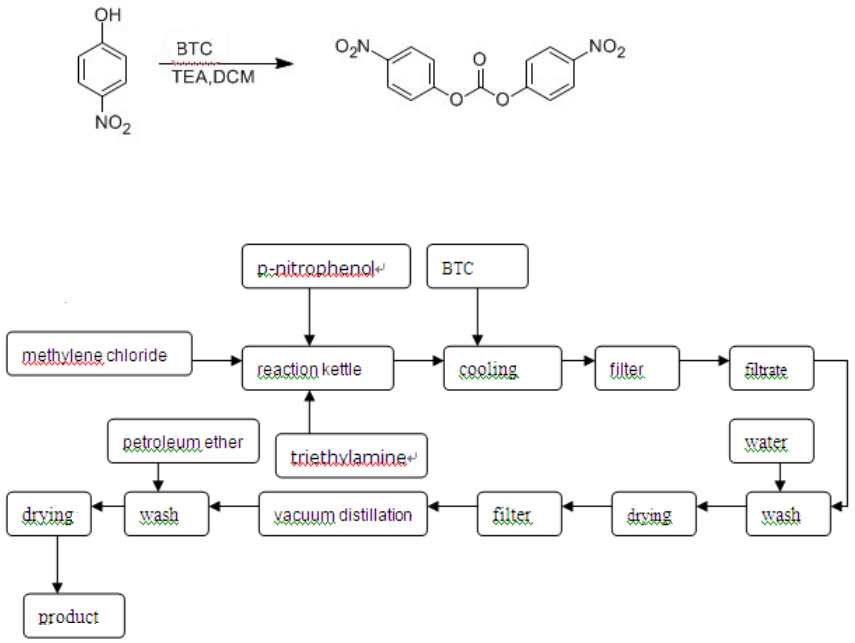
Carbonato de Bis(4-Nitrofenil) (NPC) CAS 5070-13-3 Pureza >99,0% (HPLC) Reagentes de Acoplamento
Shanghai Ruifu Chemical Co., Ltd. é o fabricante líder de carbonato de bis(4-nitrofenil) (NPC) (CAS: 5070-13-3) com alta qualidade. A Ruifu Chemical fornece uma série de reagentes de proteção e reagentes de acoplamento. Ruifu pode fornecer entrega em todo o mundo, preço competitivo, quantidades pequenas e em grandes quantidades disponíveis. Compre NPC, Entre em contato: alvin@ruifuchem.com
| Nome Químico | Bis(4-Nitrofenil) Carbonato |
| Sinônimos | NPC; Carbonato de Bis(p-Nitrofenil); Éster Bis(4-Nitrofenil) de Ácido Carbônico; 4-Carbonato de nitrofenila; 4,4'-Carbonato de dinitrodifenila; Carbonato de Di-4-Nitrofenila; Carbonato de Di-p-Nitrofenila; p,p'-Dinitrodifenilcarbonato; |
| Status do estoque | Em estoque, produção em massa |
| Número CAS | 5070-13-3 |
| Fórmula Molecular | C13H8N2O7 |
| Peso molecular | 304,21 g/mol |
| Ponto de fusão | 137,0 ~ 144,0 ℃ |
| Densidade | 1,501±0,06 g/cm3 |
| Sensível | Sensível à umidade |
| Solubilidade em Água | Insolúvel em água |
| Solubilidade | Solúvel em Clorofórmio e Tetrahidrofurano |
| Temperatura de armazenamento. | Local fresco e seco (2~8℃) |
| COA e MSDS | Disponível |
| Categoria | Reagentes de acoplamento |
| Marca | Ruifu Química |
| Itens | Padrões de Inspeção | Resultados |
| Aparência | Pó cristalino esbranquiçado a amarelo claro | Cumpre |
| Ponto de fusão | 137,0 ~ 144,0 ℃ | 139,7~140,9°C |
| Perda na secagem | <0,50% | 0,11% |
| Resíduo na ignição | <0,20% | <0,10% |
| Pureza/Método de Análise | >99,0% (HPLC) | 99,76% |
| 300 MHz | Consistente com a Estrutura | Cumpre |
| Conclusão | O produto foi testado e está em conformidade com as especificações fornecidas | |
Pacote: Garrafa, saco de folha de alumínio, tambor de 25kg/papelão, ou conforme necessidade do cliente.
Condição de armazenamento:Sensível à umidade. Armazene em recipientes selados em um armazém fresco e seco (2 ~ 8 ℃), longe de substâncias incompatíveis. Proteja da luz e da umidade. Incompatível com agentes oxidantes fortes e ácidos.
Envio:Entregue para todo o mundo pela FedEx / DHL Express. Fornece entrega rápida e confiável.
1. Propriedades: Este produto deve ser um pó cristalino esbranquiçado a amarelo claro.
2. Determinação do conteúdo: sílica gel ligada a octadecil silano como enchimento (250 * 4,6 mm * 5,0 μm); Acetonitrila:Água =70:30 é a fase móvel; O comprimento de onda de detecção foi de 254 nm. Taxa de fluxo: 0,6 ml/min; Número do conselho teórico pressiona contra NPC
O pico principal não deve ser inferior a 2.000.
Método de determinação: Pegue este produto, faça solução de acetonitrila contendo NPC 20μg a cada 1ml, como solução do produto teste.
20μL da solução teste foram injetados no cromatógrafo, e o tempo de retenção do cromatograma até o pico principal foi de 2 vezes.
Resultados: Calculado pelo método de normalização de área, o NPC continha nada menos que 99,0%.
3. Ponto de fusão: O ponto de fusão do produto deve ser determinado de acordo com o método de determinação do ponto de fusão (Apêndice VII C, Edição de 2010 da Farmacopeia Chinesa): 137,0 ~ 144,0 ℃.
4. Caracterização por RMN: A frequência foi de 300 MHz e CDCl3 foi utilizado como solvente para realizar a caracterização por RMN de amostras à temperatura ambiente.
5. Perda na secagem: Leve este produto a 60 ℃ para secagem a vácuo até peso constante, a perda de peso não deve exceder 0,5%.
6. Armazenamento: Armazenar em local fresco e seco, longe da luz (TA).
7. Período de reinspeção: um ano.
Como comprar? Entre em contatoAlvin Huang: sales@ruifuchem.com ou alvin@ruifuchem.com
15 anos de experiência?Temos mais de 15 anos de experiência na fabricação e exportação de uma ampla variedade de intermediários farmacêuticos ou produtos químicos finos de alta qualidade.
Principais mercados? Vender para o mercado interno, América do Norte, Europa, Índia, Coréia, Japão, Austrália, etc.
Vantagens? Qualidade superior, preço acessível, serviços profissionais e suporte técnico, entrega rápida.
Qualidade Garantia? Sistema de controle de qualidade rigoroso. Equipamentos profissionais para análise incluem NMR, LC - MS, GC, HPLC, ICP - MS, UV, IR, OR, K.F, ROI, LOD, MP, Claridade, Solubilidade, teste de limite microbiano, etc.
Amostras? A maioria dos produtos fornece amostras grátis para avaliação de qualidade. O custo de envio deve ser pago pelos clientes.
Auditoria de Fábrica? Auditoria de fábrica bem-vinda. Por favor, marque uma consulta com antecedência.
Quantidade mínima? Sem quantidade mínima. Pedidos pequenos são aceitáveis.
Prazo de entrega? Se estiver em estoque, entrega garantida em três dias.
Transporte? Por expresso (FedEx, DHL), por via aérea, por via marítima.
Documentos? Serviço pós-venda: COA, MOA, ROS, MSDS, etc.
Síntese Personalizada? Pode fornecer serviços de síntese personalizados para melhor atender às suas necessidades de pesquisa.
Condições de pagamento? A fatura pró-forma será enviada primeiro após a confirmação do pedido, juntamente com nossos dados bancários. Pagamento por T/T (Transferência Telex), PayPal, Western Union, etc.
Símbolos de perigo Xi - Irritante
Códigos de Risco
36/38 - Irritante para os olhos e pele.
Descrição de segurança
S26 - Em caso de contato com os olhos, lavar imediatamente com água em abundância e consultar um médico.
S36 - Use roupas de proteção adequadas.
GTK Alemanha 3
CÓDIGOS F DA MARCA FLUKA 10-21
Código HS 2920909090
Bis(4-Nitrofenil) Carbonato (NPC) (CAS: 5070-13-3), é usado como reagente para preparação de ureia simétrica e assimétrica e ésteres 4-nitrofenílicos de aminoácidos N-protegidos. Atua como um reagente de acoplamento peptídico. Encontra aplicação como reagente para a preparação de citosinas ligadas a carbamato.
O NPC pode ser usado como intermediário para APIs como Ritonavir (CAS: 155213-67-5), Rivastigmina (CAS: 123441-03-2) e Cobicistat (CAS: 1004316-88-4). Usado como intermediário de síntese orgânica, intermediário farmacêutico ou reagente químico.






