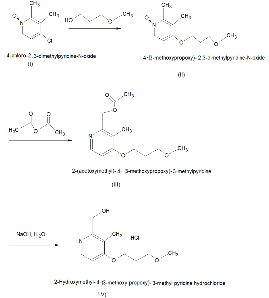
Composto Hidroxi Rabeprazol CAS 675198 -
Shanghai Ruifu Chemical é o fabricante líder de cloridrato de [4 - (3 - Metioxipropoxi) - A Ruifu Chemical oferece intermediários farmacêuticos avançados e de alta qualidade e ingredientes farmacêuticos ativos (APIs).
A Ruifu Chemical pode fornecer entrega em todo o mundo, preço competitivo, serviço excelente, quantidades pequenas e a granel disponíveis. Compre intermediários de sódio rabeprazol, Entre em contato: alvin@ruifuchem.com
| Nome Químico | Cloridrato de [4-(3-Metioxipropoxi)-3-Metil-2-Piridinil]metanol |
| Sinônimos | Composto Hidroxi de Rabeprazol; Cloridrato de (4-(3-Metoxipropoxi)-3-Metilpiridin-2-il)metanol; 4-(3-Metoxipropoxi)-3-Metilpiridina-2-Cloridrato de metanol |
| Número CAS | 675198-19-3 |
| Status do estoque | Em estoque, produção em até toneladas |
| Fórmula Molecular | C11H18ClNO3 |
| Peso molecular | 247,72 |
| COA e MSDS | Disponível |
| Origem do Produto | Xangai, China |
| Prazo de validade | 24 meses quando armazenado corretamente |
| Categorias de produtos | Intermediários Farmacêuticos |
| Marca | Ruifu Química |
| Artigo | Especificações | Resultados |
| Aparência | Pó Cristalino Amarelo Claro | Pó Cristalino Amarelo Claro |
| Ensaio / Método de análise | >99,0% (HPLC) | 99,7% |
| Perda na secagem | <0,50% | 0,23% |
| Resíduo na ignição | <0,20% | 0,06% |
| Qualquer Impureza Única | <0,50% | <0,50% |
| Impurezas Totais | <0,50% | 0,30% |
| Metais Pesados (como Pb) | <20 ppm | <20 ppm |
| Conclusão | O produto foi testado e está em conformidade com as especificações fornecidas | |
| Uso | Intermediário de Rebeprazol Sódico (CAS: 117976-90-6) | |
Pacote: Garrafa, saco de papel alumínio, 25kg/tambor de papelão ou de acordo com a necessidade do cliente
Condição de armazenamento:Armazenar em recipientes fechados em local fresco e seco; Proteja da luz e da umidade


Cloridrato de [4-(3-Metioxipropoxi)-3-Metil-2-Piridinil]metanol, Composto Hidroxi Rabeprazol, (CAS: 675198-19-3) é um intermediário do Rebeprazol Sódico (CAS: 117976-90-6). O câncer de azol sódico de rabeprazol é uma classe de inibidores da bomba de prótons que toma os medicamentos, para a forma de sal de sódio ray Bella azol, primeiro pela empresa japonesa Eisai desenvolvida com sucesso pela primeira vez, nome da mercadoria para força de onda, o papel dos inibidores da bomba de prótons é reduzir a secreção de ácido gástrico de áreas de doenças estáveis, de modo a curar as úlceras estomacais e duodenais e o efeito da doença de regurgitação do esôfago estomacal. É usado principalmente no tratamento clínico de doenças relacionadas ao ácido, como seleção de úlcera gástrica e duodenal, úlcera péptica, doença do refluxo gastroesofágico, síndrome de zhuoye e assim por diante. O rebeprazol sódico tem um início de ação mais rápido em comparação com o omeprazol, mas uma duração de ação mais curta. Rabeprazol é um substituto do benzimidazol que inibe a secreção de ácido gástrico ligando-se à bomba de prótons das células parietais gástricas. Este produto inibe a ação do trifosfato de adenosina, enzima chave na produção de ácido gástrico. Pode inibir a secreção de ácido gástrico básico e ácido gástrico causado pela estimulação.





