Valsartan CAS 137862-53-4 Ensaio 98,0~102,0% API USP padrão
Ruifu Chemical é o fornecedor líder de Valsartan (CAS: 137862 - 53 - 4) com alta qualidade, podendo atender ao padrão USP / EP. A Ruifu Chemical fornece APIs e intermediários farmacêuticos há mais de 15 anos.
A Ruifu Chemical pode fornecer entrega em todo o mundo, preço competitivo e serviço excelente.
Compre Valsartan e intermediários relacionados, entre em contato conosco por e-mail: alvin@ruifuchem.com
| Nome Químico | Valsartana |
| Sinônimos | N-Valeril-N-[2'-(1H-tetrazol-5-il)bifenil-4-ilmetil]-L-valina |
| Número CAS | 137862-53-4 |
| Status do estoque | Em estoque, produção em até toneladas |
| Fórmula Molecular | C24H29N5O3 |
| Peso molecular | 435,52 |
| Ponto de fusão | 116,0 ~ 117,0 ℃ |
| Densidade | 1,212±0,06 g/cm3 |
| Estabilidade | Higroscópico |
| Solubilidade | Solúvel em metanol |
| COA e MSDS | Disponível |
| Origem | Xangai, China |
| Categorias de produtos | API (Ingrediente Farmacêutico Ativo) |
| Marca | Ruifu Química |
| Itens de teste | Especificações | Resultados |
| Aparência | Pó cristalino branco a quase branco | Pó cristalino branco |
| Identificação | ||
| IR | Deve estar em conformidade com o padrão de referência | Cumpre |
| HPLC | Deve estar em conformidade com o padrão de referência | Cumpre |
| Absorvância (420mm) | ≤0,02% (λ=420nm, C=0,05g/ml, L=1cm) | 0,012% |
| Água (por KF) | ≤1,00% | 0,20% |
| Resíduo na ignição | ≤0,10% | 0,06% |
| Metais Pesados | ≤0,001% | <0,001% |
| Substâncias Relacionadas | ||
| Composto A | ≤1,00% | 0,37% |
| Composto B | ≤0,20% | 0,02% |
| Composto C | ≤0,10% | Não detectável |
| Qualquer outra impureza individual | ≤0,10% | 0,02% |
| Impurezas Totais | ≤0,30% (excluindo R-Isômero) | 0,07% |
| Solventes Residuais (GC) | ||
| Metanol | ≤3000 ppm | 693 ppm |
| Acetato de Etila | ≤5000 ppm | 3.013 ppm |
| N,N-Dimetilformamida | ≤880 ppm | Não detectável |
| Tolueno | ≤890 ppm | 8 ppm |
| Ensaio/Método de Análise | 98,0~102,0% (calculado no Anidro Base, Solvente-Base Livre) | 99,7% |
| Padrão de teste | USP 37 | Cumpre |
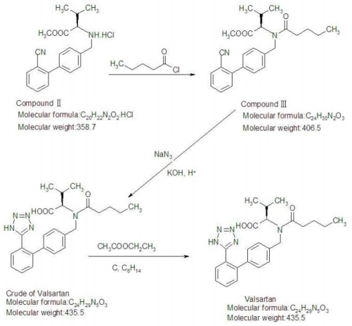
Valsartana
C24H29N5O3 435,52
l-Valina, N-(1-oxopentil)-N-[[2'-(1H-tetrazol-5-il)[1,1'-bifenil]-4-il]metil]-.
N-[p-(o-1H-Tetrazol-5-ilfenil)benzil]-N-valeril-l-valina [137862-53-4].
Valsartan contém não menos que 98,0 por cento e não mais que 102,0 por cento de C24H29N5O3, calculado com base anidra.
Embalagem e armazenamento-Conservar em recipientes herméticos e armazenar a 25ºC, excursões permitidas entre 15 e 30. Proteger da umidade e do calor.
Padrões de referência USP<11>-
USP Valsartana RS
Composto A RS relacionado ao Valsartan da USP
(R-N-Valeril-N-([2'-(1H-tetrazol-5-il)bifen-4-il]metil)valina.
C24H29N5O3 435,52
Composto B RS relacionado ao valsartan da USP
(S-N-Butiril-N-([2'-(1H-tetrazol-5-il)bifeno-4-il]metil)-valina.
C23H27N5O3 421,49
Composto C RS relacionado ao Valsartan da USP
(S-N-Valeril-N-([2'-(1H-tetrazol-5-il)bifen-4-il]metil)-éster benzílico de valina.
C31H35N5O3 525,64
Identificação-
A: Absorção infravermelha<197M>.
B: O tempo de retenção do pico principal no cromatograma da preparação do Ensaio corresponde ao cromatograma da preparação Padrão, conforme obtido no Ensaio.
Absorvância-Prepare uma solução 1 em 20 em metanol e determine a absorvância a 420 nm. A absorbância dividida pelo comprimento do caminho não é superior a 0,02.
Água, Método I<921>: não mais que 2,0%.
Resíduo na ignição<281>: não mais que 0,1%.
Metais pesados, Método II<231>: 0,001%.
Compostos relacionados-
teste 1 (limite do composto a relacionado ao valsartan) -
Fase móvel-Prepare uma mistura de n-hexano, 2-propanol e ácido trifluoroacético (85:15:0,1). Faça ajustes se necessário (consulte Adequação do Sistema em Cromatografia 621).
Solução padrão-Dissolva uma quantidade pesada com precisão de Composto A RS relacionado ao Valsartan USP na fase móvel e dilua quantitativamente e gradualmente, se necessário, para obter uma solução com uma concentração conhecida de cerca de 0,01 mg por mL.
Solução de adequação do sistema-Dissolva quantidades pesadas com precisão de USP Valsartan RS e USP Valsartan Related Compound A RS na fase móvel para obter uma solução com concentrações conhecidas de cerca de 0,04 mg por mL cada de valsartan e composto A relacionado a valsartan.
Solução teste-Transferir cerca de 50 mg de Valsartan, pesado com precisão, para um balão volumétrico de 50 mL, adicionar cerca de 40 mL de Fase Móvel e sonicar por 5 minutos. Diluir com fase móvel até completar o volume e misturar.
Sistema cromatográfico (ver Cromatografia<621>)-O cromatógrafo líquido é equipado com um detector de 230-nm e uma coluna de 4,6-mm × 25-cm que contém empacotamento L40 de 5-µm. A taxa de fluxo é de cerca de 0,8 mL por minuto. Cromatografe a solução de adequação do sistema e registe as respostas dos picos conforme indicado no Procedimento: a resolução, R, entre o composto A relacionado com valsartan e o valsartan não é inferior a 2,0; e o desvio padrão relativo, determinado a partir do pico do composto A relacionado com valsartan, para injecções replicadas não é superior a 5%.
Procedimento-Injete separadamente volumes iguais (cerca de 10 µL) da solução padrão e da solução teste no cromatógrafo, registre os cromatogramas e meça as áreas dos picos principais. Calcule a porcentagem do composto A relacionado ao valsartan na porção de Valsartan tomada pela fórmula:
100(CS/CU)(rU/rS)
em que CS é a concentração, em mg por mL, do Composto A RS relacionado ao Valsartan USP na solução padrão; CU é a concentração, em mg por mL, de valsartana na solução teste; e rU e rS são as respostas de pico para o composto A relacionado com valsartan obtido a partir da solução Teste e da solução Padrão, respectivamente: não é encontrado mais de 1,0%.
teste 2 (limite do composto b relacionado ao valsartan, composto c relacionado ao valsartan e outros compostos relacionados) -
Fase móvel-Proceda conforme indicado no Ensaio.
Solução padrão-Dissolva quantidades pesadas com precisão de USP Valsartan RS, USP Valsartan Relacionado Composto B RS e USP Valsartan Relacionado Composto C RS na fase móvel e dilua quantitativamente e passo a passo, se necessário, com a fase móvel para obter uma solução com concentrações conhecidas de cerca de 0,001 mg de valsartan por mL, 0,001 mg de composto B relacionado a valsartan por mL e 0,001 mg de composto C relacionado a valsartan por mL.
Solução teste-Transferir cerca de 50 mg de Valsartan, pesado com precisão, para um balão volumétrico de 100 mL, dissolver e diluir com Fase móvel até volume e misturar.
Sistema cromatográfico (ver Cromatografia<621>)-Prepare conforme indicado no Ensaio, exceto para usar um detector de 225-nm. Cromatografar a solução padrão e registar as respostas dos picos conforme indicado no Procedimento: a resolução, R, entre o composto B relacionado com valsartan e o valsartan não é inferior a 1,8; o desvio padrão relativo, determinado a partir dos picos do composto B relacionado ao valsartan, para injeções replicadas não é superior a 10,0%; e o desvio padrão relativo, determinado a partir dos picos de valsartan, para injeções replicadas não é superior a 2,0%.
Procedimento-Injete separadamente volumes iguais (cerca de 10 µL) da solução padrão e da solução teste no cromatógrafo, registre os cromatogramas e meça as áreas dos picos principais. Calcule a porcentagem de composto B relacionado ao valsartan e composto C relacionado ao valsartan na porção de Valsartan tomada pela fórmula:
100(CS/CU)(ri/rS)
em que CS é a concentração, em mg por mL, do Composto RS relacionado ao Valsartan da USP apropriado na solução padrão; CU é a concentração, em mg por mL, de valsartana na solução teste; ri é o pico de resposta para a impureza obtida da solução de teste; e rS é a resposta máxima para o composto relacionado com valsartan apropriado obtido a partir da solução padrão. Calcular o percentual de impureza entre si na porção de Valsartan tomada pela mesma fórmula, em que CS é a concentração, em mg por mL, de Valsartan RS USP na Solução Padrão; rS é o pico de resposta para valsartana obtido da solução padrão; e os outros termos são como definidos acima: não é encontrado mais de 0,2% de composto B relacionado com valsartan; não é encontrado mais de 0,1% de composto C relacionado com valsartan; não é encontrado mais de 0,1% de qualquer outra impureza individual, excluindo o composto A relacionado com valsartan; e não são encontrados mais de 0,3% do total de impurezas, excluindo o composto A relacionado com valsartan.
Ensaio -
Fase móvel-Prepare uma mistura filtrada e desgaseificada de água, acetonitrila e ácido acético glacial (500:500:1). Faça ajustes se necessário (consulte Adequação do Sistema em Cromatografia 621).
Preparação padrão-Dissolva uma quantidade pesada com precisão de USP Valsartan RS na fase móvel e dilua quantitativamente, e gradualmente, se necessário, com a fase móvel para obter uma solução com uma concentração conhecida de cerca de 0,5 mg por mL.
Preparação do ensaio-Transferir cerca de 50 mg de Valsartan, pesado com precisão, para um balão volumétrico de 100 mL, dissolver e diluir com Fase móvel até volume e misturar.
Sistema cromatográfico (ver Cromatografia<621>)-O cromatógrafo líquido é equipado com um detector de 273-nm e uma coluna de 3,0-mm × 12,5-cm que contém 5-µm de empacotamento L1. A taxa de fluxo é de cerca de 0,4 mL por minuto. Cromatografe a preparação padrão e registre as respostas dos picos conforme indicado no Procedimento: o desvio padrão relativo para injeções replicadas não é superior a 2,0%.
Procedimento-Injete separadamente volumes iguais (cerca de 10 µL) da preparação padrão e da preparação do ensaio no cromatógrafo, registre os cromatogramas e meça as áreas dos picos principais. Calcule a quantidade, em mg, de C24H29N5O3 na porção de Valsartan tomada pela fórmula:
100C(rU / rS)
em que C é a concentração, em mg por mL, de USP Valsartan RS na preparação padrão; e rU e rS são as respostas de pico obtidas da preparação do Ensaio e da preparação Padrão, respectivamente.
Pacote: Garrafa, saco de folha de alumínio, tambor de 25kg/papelão, ou conforme necessidade do cliente.
Condição de armazenamento: Mantenha o recipiente bem fechado e armazene em local fresco, seco (2 ~ 8 ℃) e bem ventilado, longe de substâncias incompatíveis. Proteja da luz e da umidade.
Envio: Entregue para todo o mundo por via aérea, pela FedEx / DHL Express. Fornece entrega rápida e confiável.


Símbolos de perigo Xi - Irritante
Códigos de Risco
36/37/38 - Irritante para os olhos, vias respiratórias e pele.
Descrição de segurança
S26 - Em caso de contato com os olhos, lavar imediatamente com água em abundância e consultar um médico.
S37/39 - Use luvas adequadas e proteção para os olhos/face
GTK Alemanha 3
RTECS YV9455000
Código HS 2933990099
Shanghai Ruifu Chemical Co., Ltd. é o principal fabricante e fornecedor de Valsartan (CAS: 137862 - 53 - 4) com alta qualidade. Valsartan é um antagonista não peptídico do receptor AT1 da angiotensina II, anti-hipertensivo, com potencial para pesquisa de hipertensão e insuficiência cardíaca.
Os efeitos anti-hipertensivos do valsartan são mais fortes que os do enalapril e são adequados para o tratamento da hipertensão, da hipertensão primária leve a moderada e, especialmente, da hipertensão secundária causada por lesão renal. Pode reduzir significativamente a proteinúria em pacientes hipertensos com diabetes ou função hepática normal e pode promover ácido úrico e sódio urinário para proteger os rins. Valsartan também é adequado para reduzir a mortalidade cardiovascular em pacientes de alto risco (insuficiência ou disfunção ventricular esquerda) após sofrerem um ataque cardíaco.





